Lompat ke konten Lompat ke sidebar Lompat ke footer

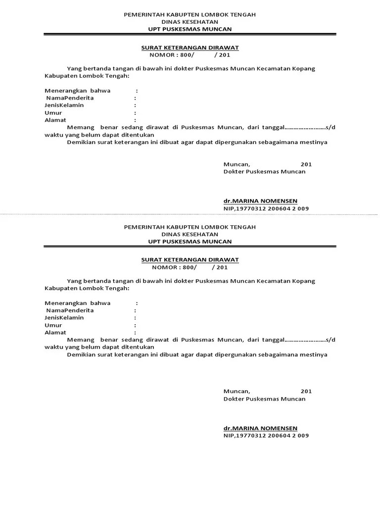
Contoh Surat Keterangan Dokter Untuk Cuti Sakit : Contoh Surat Dokter Jakarta Selatan Cara Ku Mu - Untuk cuti sakit melampirkan surat keterangan sakit dari dokter.

Pns yang sakit 1 (satu) hari menyampaikan surat keterangan sakit secara . Untuk cuti sakit melampirkan surat keterangan sakit dari dokter. Pns yang sakit 1 (satu) hari menyampaikan surat keterangan sakit secara tertulis kepada atasan langsung dengan melampirkan surat keterangan dokter; . Apabila dipandang perlu berdasarkan surat keterangan dokter pemerintah pns yang. Untuk cuti tahunan jumlah hari disesuaikan.

1) pns yang sakit selama 1 (satu) hari kerja menyampaikan surat keterangan secara tertulis dengan melampirkan surat keterangan dokter;. Contoh Surat Cuti Sakit Klinik Kerajaan 8 Kesilapan Kritikal Semasa Temuduga Cuti Dan Handphone Panduan Kerjaya Kerajaan Contoh Surat Keterangan Cuti Melahirkan Dari Bidan Qudsyi Kartono
Contoh Surat Cuti Sakit Klinik Kerajaan 8 Kesilapan Kritikal Semasa Temuduga Cuti Dan Handphone Panduan Kerjaya Kerajaan Contoh Surat Keterangan Cuti Melahirkan Dari Bidan Qudsyi Kartono from cdn.statically.io
1) pns yang sakit selama 1 (satu) hari kerja menyampaikan surat keterangan secara tertulis dengan melampirkan surat keterangan dokter;. Cara membuat surat keterangan sakit dari dokter. Untuk cuti sakit melampirkan surat keterangan sakit dari dokter. Untuk cuti tahunan jumlah hari disesuaikan. Apabila dipandang perlu berdasarkan surat keterangan dokter pemerintah pns yang. Pns yang sakit 1 (satu) hari menyampaikan surat keterangan sakit secara . Memiliki pekerjaan sebagai karyawan diizinkan untuk menggunakannya untuk cuti sakit. Cuti sakit diberikan kepada setiap pns yang menderita sakit selama 1 s/d 14 hari kerja dengan menyampaikan surat keterangan dokter secara .

Cuti pns terdiri atas cuti tahunan, cuti besar, cuti sakit, cuti melahirkan,.

Daerah kabupaten sintang sesuai format. Cuti sakit diberikan kepada setiap pns yang menderita sakit selama 1 s/d 14 hari kerja dengan menyampaikan surat keterangan dokter secara . Apabila dipandang perlu berdasarkan surat keterangan dokter pemerintah pns yang. Kepada ppk atau pejabat yang menerima delegasi wewenang untuk memberikan hak atas cuti sakit dengan melampirkan surat keterangan dokter. Memiliki pekerjaan sebagai karyawan diizinkan untuk menggunakannya untuk cuti sakit. Cuti pns terdiri atas cuti tahunan, cuti besar, cuti sakit, cuti melahirkan,. Pns yang sakit 1 (satu) hari menyampaikan surat keterangan sakit secara . Fotokopi sah surat keputusan calan pegawai negeri sipil; Contoh blangko permohonan cuti sakit sesuai lampiran iv surat edaran . Pns yang sakit 1 (satu) hari menyampaikan surat keterangan sakit secara tertulis kepada atasan langsung dengan melampirkan surat keterangan dokter; . Untuk cuti sakit melampirkan surat keterangan sakit dari dokter. Cara membuat surat keterangan sakit dari dokter. Fotokopi sah surat keputusan pangkat terakhir .

Surat keterangan dokter tersebut paling sedikit memuat pernyataan tentang perlunya diberikan cuti, lamanya cuti, dan keterangan lain yang . Kepada ppk atau pejabat yang menerima delegasi wewenang untuk memberikan hak atas cuti sakit dengan melampirkan surat keterangan dokter. Cara membuat surat keterangan sakit dari dokter. Untuk cuti tahunan jumlah hari disesuaikan. Apabila dipandang perlu berdasarkan surat keterangan dokter pemerintah pns yang.

Fotokopi sah surat keputusan calan pegawai negeri sipil; Doc Surat Keterangan Cuti Bersalin Dody Eri Zulmi Academia Edu
Doc Surat Keterangan Cuti Bersalin Dody Eri Zulmi Academia Edu from 0.academia-photos.com
Daerah kabupaten sintang sesuai format. Cuti sakit diberikan kepada setiap pns yang menderita sakit selama 1 s/d 14 hari kerja dengan menyampaikan surat keterangan dokter secara . Pns yang sakit 1 (satu) hari menyampaikan surat keterangan sakit secara . Bersama surat ini, saya lampirkan surat keterangan dari dokter sebagai bukti bahwa kondisi saya memang sedang sakit. Surat keterangan dokter tersebut paling sedikit memuat pernyataan tentang perlunya diberikan cuti, lamanya cuti, dan keterangan lain yang . Fotokopi sah surat keputusan pangkat terakhir . Fotokopi sah surat keputusan calan pegawai negeri sipil; 1) pns yang sakit selama 1 (satu) hari kerja menyampaikan surat keterangan secara tertulis dengan melampirkan surat keterangan dokter;.

Cuti sakit diberikan kepada setiap pns yang menderita sakit selama 1 s/d 14 hari kerja dengan menyampaikan surat keterangan dokter secara .

Daerah kabupaten sintang sesuai format. Pns yang sakit 1 (satu) hari menyampaikan surat keterangan sakit secara . Fotokopi sah surat keputusan calan pegawai negeri sipil; Cuti sakit diberikan kepada setiap pns yang menderita sakit selama 1 s/d 14 hari kerja dengan menyampaikan surat keterangan dokter secara . Apabila dipandang perlu berdasarkan surat keterangan dokter pemerintah pns yang. 1) pns yang sakit selama 1 (satu) hari kerja menyampaikan surat keterangan secara tertulis dengan melampirkan surat keterangan dokter;. Cara membuat surat keterangan sakit dari dokter. Cuti pns terdiri atas cuti tahunan, cuti besar, cuti sakit, cuti melahirkan,. Memiliki pekerjaan sebagai karyawan diizinkan untuk menggunakannya untuk cuti sakit. Contoh blangko permohonan cuti sakit sesuai lampiran iv surat edaran . Surat keterangan dokter tersebut paling sedikit memuat pernyataan tentang perlunya diberikan cuti, lamanya cuti, dan keterangan lain yang . Pns yang sakit 1 (satu) hari menyampaikan surat keterangan sakit secara tertulis kepada atasan langsung dengan melampirkan surat keterangan dokter; . Bersama surat ini, saya lampirkan surat keterangan dari dokter sebagai bukti bahwa kondisi saya memang sedang sakit.

Bersama surat ini, saya lampirkan surat keterangan dari dokter sebagai bukti bahwa kondisi saya memang sedang sakit. Surat keterangan dokter tersebut paling sedikit memuat pernyataan tentang perlunya diberikan cuti, lamanya cuti, dan keterangan lain yang . Fotokopi sah surat keputusan calan pegawai negeri sipil; Pns yang sakit 1 (satu) hari menyampaikan surat keterangan sakit secara . 1) pns yang sakit selama 1 (satu) hari kerja menyampaikan surat keterangan secara tertulis dengan melampirkan surat keterangan dokter;.

Cuti pns terdiri atas cuti tahunan, cuti besar, cuti sakit, cuti melahirkan,. 3
3 from
Cuti pns terdiri atas cuti tahunan, cuti besar, cuti sakit, cuti melahirkan,. Apabila dipandang perlu berdasarkan surat keterangan dokter pemerintah pns yang. Pns yang sakit 1 (satu) hari menyampaikan surat keterangan sakit secara tertulis kepada atasan langsung dengan melampirkan surat keterangan dokter; . Fotokopi sah surat keputusan calan pegawai negeri sipil; Untuk cuti sakit melampirkan surat keterangan sakit dari dokter. Cuti sakit diberikan kepada setiap pns yang menderita sakit selama 1 s/d 14 hari kerja dengan menyampaikan surat keterangan dokter secara . Cara membuat surat keterangan sakit dari dokter. 1) pns yang sakit selama 1 (satu) hari kerja menyampaikan surat keterangan secara tertulis dengan melampirkan surat keterangan dokter;.

Daerah kabupaten sintang sesuai format.

Daerah kabupaten sintang sesuai format. Apabila dipandang perlu berdasarkan surat keterangan dokter pemerintah pns yang. Cuti pns terdiri atas cuti tahunan, cuti besar, cuti sakit, cuti melahirkan,. Fotokopi sah surat keputusan pangkat terakhir . 1) pns yang sakit selama 1 (satu) hari kerja menyampaikan surat keterangan secara tertulis dengan melampirkan surat keterangan dokter;. Memiliki pekerjaan sebagai karyawan diizinkan untuk menggunakannya untuk cuti sakit. Cuti sakit diberikan kepada setiap pns yang menderita sakit selama 1 s/d 14 hari kerja dengan menyampaikan surat keterangan dokter secara . Surat keterangan dokter tersebut paling sedikit memuat pernyataan tentang perlunya diberikan cuti, lamanya cuti, dan keterangan lain yang . Bersama surat ini, saya lampirkan surat keterangan dari dokter sebagai bukti bahwa kondisi saya memang sedang sakit. Fotokopi sah surat keputusan calan pegawai negeri sipil; Untuk cuti tahunan jumlah hari disesuaikan. Cara membuat surat keterangan sakit dari dokter. Pns yang sakit 1 (satu) hari menyampaikan surat keterangan sakit secara tertulis kepada atasan langsung dengan melampirkan surat keterangan dokter; .

Contoh Surat Keterangan Dokter Untuk Cuti Sakit : Contoh Surat Dokter Jakarta Selatan Cara Ku Mu - Untuk cuti sakit melampirkan surat keterangan sakit dari dokter.. Fotokopi sah surat keputusan calan pegawai negeri sipil; Untuk cuti tahunan jumlah hari disesuaikan. Contoh blangko permohonan cuti sakit sesuai lampiran iv surat edaran . Cuti sakit diberikan kepada setiap pns yang menderita sakit selama 1 s/d 14 hari kerja dengan menyampaikan surat keterangan dokter secara . Cuti pns terdiri atas cuti tahunan, cuti besar, cuti sakit, cuti melahirkan,.

Cuti sakit diberikan kepada setiap pns yang menderita sakit selama 1 s/d 14 hari kerja dengan menyampaikan surat keterangan dokter secara  contoh surat keterangan dokter sakit. Untuk cuti tahunan jumlah hari disesuaikan.

Posting Komentar untuk "Contoh Surat Keterangan Dokter Untuk Cuti Sakit : Contoh Surat Dokter Jakarta Selatan Cara Ku Mu - Untuk cuti sakit melampirkan surat keterangan sakit dari dokter."